资源概况
- Matlab源码
- 配套设计报告

- 不提供指导服务;
- 电子资源,一经售出,概不退款;
- 每年售卖数量有限,售完为止。
资源介绍(截取部分,完整请购买)
一、状态空间建模

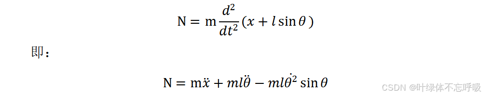
忽略空气阻力、各种摩擦之后,可将倒立摆系统抽象为小车和匀质杆组成的系统。单级倒立摆模型结构如图2.1所示。其中,小车质量M(kg),摆杆质量m(kg),小车摩擦系数b(N/m/sec),摆杆转动轴心到杆质心的长度(m),摆杆惯量I(kg*m2),加在小车上的力F(N),小车位置x(m),摆杆与垂直向上方向的夹角φ(rad),摆杆与垂直向下方向的夹角θ(rad)。设小车与摆杆相互作用力的水平和垂直方向的分量为N和P。分析小车水平方向所受的合力,可以得到以下方程:

由摆杆水平方向的受力进行分析可以得到下面等式:

联立上式,得到系统的第一个运动方程:

对摆杆垂直方向上的合力进行分析,得到下面方程:
力矩平衡方程:
联立以上方程,得到第二个运动方程:
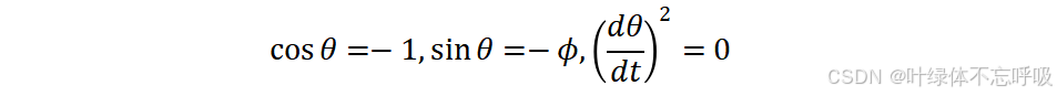
设θ=φ+π(φ是摆杆与垂直向上方向之间的夹角),假设φ与1rad相比很小,即φ<<1,则可以进行近似处理:
用u来代表被控对象的输入力F,线性化后得到两个运动方程:
进一步变换得到系统的状态空间方程:

对模型中各个参数进行现实取值:小车质量M=1.096kg,摆杆质量m=0.109kg,小车摩擦系数b=0.1 N/m/sec,摆杆转动轴心到杆质心的长度=0.25m,摆杆惯量I=0.0034kg*m2。将上述参数代入状态空间方程得到:

(其余完整详见下载)
使用Matlab建立模型,使用LQR算法控制算法实现倒立摆实验,设置初态为[0; 2; 0; 1],设置输入为0,得到角度和位移曲线如图1所示。

提取其中的位移曲线,如图2所示。假设位移信息读取受到严重噪声干扰,加入均值为0、方差为0.4的高斯噪声以模拟此干扰。受到干扰后的位移曲线如图3所示。


合理设置参数,使用卡尔曼滤波处理被噪声干扰的信号,滤波效果如图4所示。

分析卡尔曼滤波效果图可得,卡尔曼滤波有效地减少了噪声的影响。
四、附录
实验代码(其余完整请下载)
clc;
clear;
% 输入状态空间建模信息
A = [0 1 0 0;
0 -0.0883 0.6293 0;
0 0 0 1;
0 -0.2357 27.8285 0];
B = [0;
0.8832;
0;
2.3566];
C = [1 0 0 0;
0 0 1 0];
D = 0;
% 模型离散化
T = 0.02;
[AA,BB] = c2d(A, B, T);
% 倒立摆引入LQR控制算法
Q = [1 0 0 0;
0 1 0 0;
0 0 2 0;
0 0 0 2];
R = 1;
K = lqr(AA, BB, Q, R);
Ac = AA - BB*K;
% 确定模型初态、模型输入,并求解模型运动状态
x0=[0;
2;
0;
1];
t = 0:0.01:9.99;
u = zeros(size(t));
[y, x] = lsim(Ac, BB, C, D, u, t, x0);
figure(1);
plot(t, y(:, 1), "b", "LineWidth", 1);
hold on;
plot(t, y(:, 2), "r", "LineWidth", 1);
legend('位移', '角度');
xlabel('时间/s');
figure(2);
% 提取位移信息
y_position = y(:,1);
plot(t, y_position, "LineWidth", 1);
xlabel('时间/s');
% 假设位移信息读取受到严重噪声干扰,加入高斯噪声
Z = y_position;
for i = 1:length(Z)
Z(i) = y_position(i) + normrnd(0,0.4);
end
figure(3);
plot(t, Z);
xlabel('时间/s');
r = 0.017;
D = Z-y_position;
X = Z(1);
T = 0.03;
V = 0.1;
Q = T^2*V^2;
R = r^2;
P = X^2;
A = 1;
H = 1;
Xn = KalmanFilter(X, Z, A, Q, H, R, P, y_position);





















暂无评论内容