资源概况
- 仿真工程源文件(使用Matlab里面的Simulink打开)
- 配套实验设计报告x2(分别为有纹波和无纹波)

4、特别说明
- 不提供指导服务;
- 电子资源,一经售出,概不退款;
- 每年售卖数量有限,售完为止。
资源介绍(截取部分,完整请购买)
1、最小拍有纹波
一、实验目的与要求
1、掌握最小拍有纹波系统的计算机控制脉冲传函D(z)的设计方法。
2、了解该系统对三种典型输入的适应性。
3、掌握SIMULINK的仿真方法。
二、仿真软硬件环境
PC机,MATLAB R2012b。
三、实验原理
如图 R为输入,C为输出。计算机定时采样,计算误差E,按D(z)计算输出控制量U。

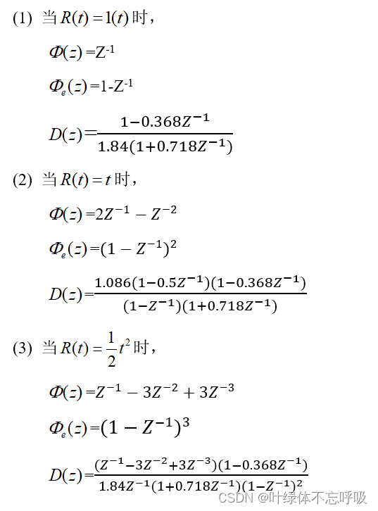
四、D(z)设计
已知:

则广义对象的脉冲传函为:


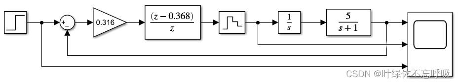
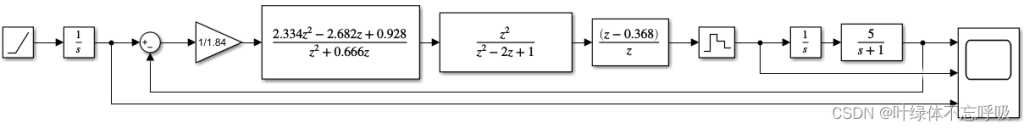
五、SIMULINK仿真结构图
(1) R(t)=l(t)

(2) R(t)=t

(3) R(t)=(1/2)*t^2

六、仿真波形记录
1、针对不同输入设计对应的控制器,记录曲线波形。


2、适应性验证:针对单位速度设计的控制器,当改变输入时,记录曲线波形。


七、思考题
1、系统对三种典型输入适应性如何?
答:通过选择不同的输入信号对同一个最少拍无纹波控制器进行仿真,研究了最少拍无纹波控制系统对典型输入的适应性问题,最终发现根据某一种输入信号情况设计的无纹波控制器可适用于较低阶的输入信号情况,但不适用于更高阶的输入信号情况。观察上述各种情况下偏差和系统输出波形可知,根据单位速度信号设计的最少拍无纹波控制器用于单位阶跃信号时,系统依然可以达到稳定状态。但根据单位阶跃信号设计的最少拍无纹波控制器不适用于单位速度信号输入。所以,适用于高阶信号输入情况的最少拍无纹波控制器可以应用于低阶信号输入情况,但根据低阶信号输入情况设计的最少拍无纹波控制器无法应用于高阶信号输入情况。
2、设计与实验结果是否相符?为什么?
答:不完全相符,因为在计算D(z)时,计算取值的大小并不完全精确,只取得数值的部分有效数字。得到结果与设计值相接近。
3、最小拍系统受什么限制而使调整节拍增加?
答:受输入函数R(z)阶数的限制,其阶数越高,调节时间越长。
2、最小拍无纹波
一、实验目的与要求
1、掌握最小拍无纹波系统的计算机控制脉冲传函D(z)的设计方法。
2、掌握SIMULINK的仿真方法。
二、仿真软硬件环境
PC机,MATLAB R2012b。
三、实验原理
如图 R为输入,C为输出。计算机定时采样,计算误差E,按D(z)计算输出控制量U。

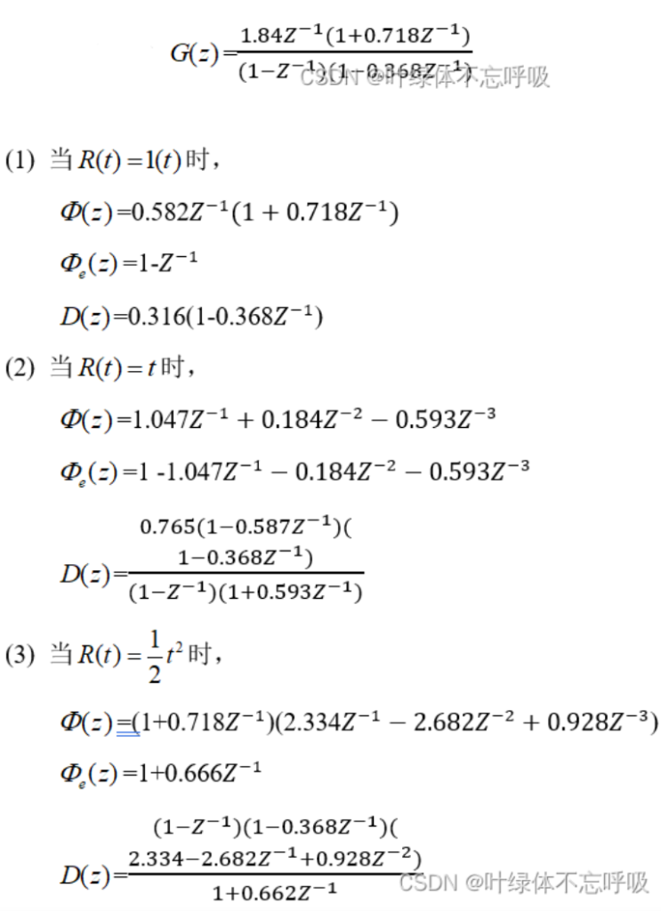
四、D(z)设计
已知:

则广义对象的脉冲传函为:

五、SIMULINK仿真结构图
(1) R(t)=l(t)

(2) R(t)=t

(3) R(t)=(1/2)*t^2

六、仿真波形记录


七、思考题
1、最小拍无纹波系统输出是否无波纹?为什么?
答:最小拍无纹波系统输出无波纹。因为采用Z变换方法进行设计,保证采样点上误差为零或保持恒定,并在典型输入信号的作用下,经过有限拍系统达到稳定,且在采样点之间没有波纹,输入误差为0。






















暂无评论内容